News All Articles
Does playing links golf ahead of The Open increase your chances of winning?
News

Does playing links golf ahead of The Open increase your chances of winning?

There are many great takeaways from Henrik Stenson’s dominant Open Championship victory on Sunday at Royal Troon.

His 20 under performance ranks up there with the best Major Championship performances of all time, while his weekend duel with Phil Mickelson will go down in the annals of golfing history alongside Tom Watson and Jack Nicklaus’s fabled Duel in the Sun at nearby Turnberry in 1977.

For the leading duo, one of the biggest takeaways has to be that preparation at the Aberdeen Asset Management Scottish Open - on a links course in links weather – gave them a significant advantage when it came to competing at The Open. It was a fact not lost on either of them.

Stenson said: “I had to do something to get prepared for The Open Championship, and the last couple of years going early and practising a little bit hasn't quite done it. I therefore went back to the formula I had for 2013 [the last time he played in the Scottish Open the week before the Open when he finished second to Mickelson at Muirfield], and from here on it would be kind of stupid not to keep that one going.”

Mickelson concurred. “I love it,” he said. “That's why I was here last week playing at Castle Stuart, it's great. I've spent a lot of time learning how to play in that [weather and conditions]. I actually really enjoy it.”

Indeed, all of the top four finishers on the Ayrshire coast on Sunday (Stenson, Mickelson, J.B. Holmes, and Steve Stricker), prepared for The Open by coming to play the AAM Scottish Open at Castle Stuart.

Notably, three of them play almost entirely in the US on the PGA Tour and Holmes and Stricker were both outside the top 20 in the World Rankings, at 24th and 167th, respectively. But combine their golfing talent with some links preparation and they shot to the front of the leaderboard ahead of the four players at the top of the World Rankings.

In addition, Stenson was the only top ten ranked golfer in the world who played the AAM Scottish Open this year. He, Mickelson, and Holmes were three of only five top 25 players who teed it up at Castle Stuart. One of the other two - Patrick Reed - finished T12 in his best Open effort yet.

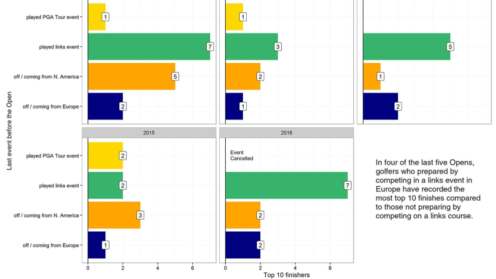
The 2016 Open Championship wasn’t unique in this regard either. The European Tour have teamed up with data-analytics experts15th Club, who crunched the numbers to show how  preparation at the Scottish Open (or Irish Open in 2012) has been a major separating factor in the last five Open Championships.

Some key numbers from 15th Club:

Henrik Stenson

Five of the last six Champion Golfers(Clarke, Els, Mickelson, McIlroy, and Stenson) all prepared for the Open by playing the Scottish Open on a links course the week before.

24 of 60 top 10 finishers in the 2012-16 Opens prepared by competing at a linkscourse(Scottish Open 2012-16 or Irish Open in 2012) compared to only four top tens for those preparing at a PGA Tour event, 13 top tens for those traveling from North America but not competing on a links course, and eight top tens for those traveling from Europe but not competing at the Scottish Open.

● Just in 2016,seven of the top 11 finishers prepared by playing the Scottish Openand the best finish by a golfer who played their last event in the US was tied ninth (Bill Haas and Dustin Johnson).

Golfers preparing for the Open at a links course have improved on their season-long Scoring Average by around a full shot over four rounds.Golfers whose Open preparation was either playing in a PGA Tour event or travelling over from North America to practice at the Open venue play nearly a full shot worse over four rounds than their season-long Scoring Average.

Asset 2
Asset1

Going deeper, 15th Club’s analysis shows that a top 50 golfer in the world who normally prepares for the Open by playing in the US on the PGA Tour or traveling over from North America to prepare at the Open venue can double their odds of winning the Open by playing a competitive tournament to warm-up on the links.

Preparing for the Open at the AAM Scottish Open on a links course has been a secret weapon for golfers in recent seasons, but after this 2016 Open the value is obvious. At times, there will be situations where sponsor commitments or family plans necessitate a golfer to prepare for the Open at another event, but it’s almost a no-brainer to show up at a European Tour links tournament, such as the AAM Scottish Open, for anyone able to get in next year.

Read next